英国威廉希尔公司_williamhill英国官网 - 中文网站
欢迎访问
集团首页
首页
公司概况
英国威廉希尔公司简介
williamhill官网
机构设置
团队队伍
专兼职教师
研究生导师
客座教授
思政课教学
本科生思政课
研究生思政课
实践教学
形势与政策
团队建设
一级硕士点
研究机构
科学研究
员工动态
公司产品
培养方案
制度文件
员工活动
人才招聘
招生信息
就业信息
党群工作
党建工作
团学风采
员工分会
工会之家
合作交流
对外交流
williamhill英国官网
理论园地
1
2
3
4
当前位置:
首页
·
人才招聘
·
招生信息
· 正文
招生信息
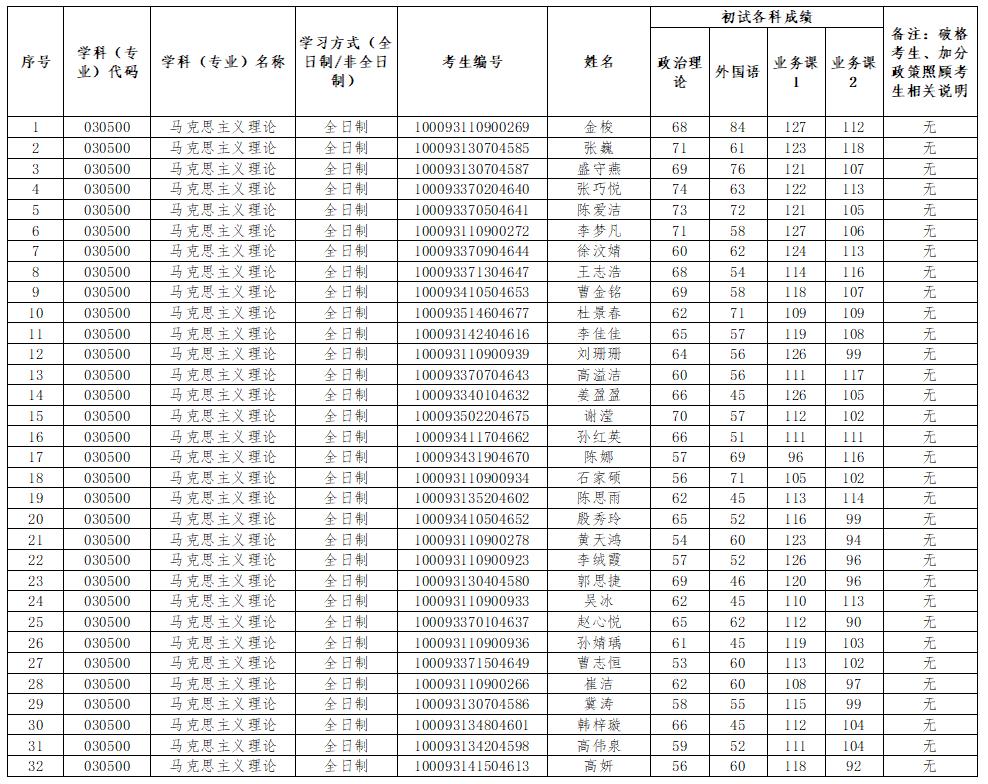
英国威廉希尔公司2023年硕士研究生招生考试复试第一志愿考生名单
来源:
发布日期:2023/03/24
点击量:
英国威廉希尔公司
2023年3月24日
版权所有: 英国威廉希尔公司_williamhill英国官网 - 中文网站 电话010-88803302 京公网安备 110402430037 号